مفهوم هاب انرژی
نقطهای انتزاعی در شبکه برق است که در آن فارغ از بحث ترانزیت و تلفات شبکه تنها انرژی مبادله میشود. به این معنا که کلیه معاملات تجاری برق در آن نقطه انجام میشود و در آن هزینه ترانزیت و تلفات انتقال انرژی در سطوح ولتاژ یکسان برابر صفر میباشد .
نقطه مرجع شبکه (HUB)
نقطهای انتزاعی در شبکه برق است که در آن فارغ از بحث ترانزیت و تلفات شبکه تنها انرژی مبادله میشود. به این معنا که کلیه معاملات تجاری برق در آن نقطه انجام میشود و در آن هزینه ترانزیت و تلفات انتقال انرژی در سطوح ولتاژ یکسان برابر صفر میباشد .
شماتیک

مدل مفهومی نقطه مرجع شبکه

نکات کلیدی
- نقطهای که در آن هزینة دسترسی به شبکه صفر است
- نقطهای که در آن تلفات متناظر برای تزریق (دریافت) انرژی از شبکه صفر است
- یک مفهوم غیر فیزیکی است
- لزوماً نقطة خاصی از شبکه را آدرس نمیکند
- تقریباً این مفهوم در همة بازارهای دنیا کاربرد دارد
- بازار کالیفرنیا
- مجموعة NORDPOOL
معادلات
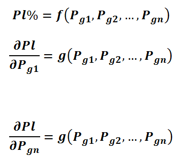
همانگونه که میدانیم، تلفات تابعی از تولید ومصرف میباشد. بنابراین تلفات را میتوان به صورت زیر نشان داد:

HUB مکان هندسی نقاطی از شبکه است که شرایط ذیل را داشته باشند:

- شرکت مدیریت شبکه برق ایران میبایست ضرایب مربوط به تلفات انتقال انرژی تولیدی متناظر با هر نیروگاه را از نقطه اتصال به شبکه تا نقطه مرجع شبکه، محاسبه کرده و در ابتدای تیر هر سال حداقل برای 12 ماه آینده انتشار دهد.
-
- شرکت مدیریت شبکه برق ایران میبایست ضرایب مربوط به تلفات انتقال انرژی تولیدی متناظر با هر خریدار را از نقطه مرجع شبکه تا محل مصرف، محاسبه کرده و در ابتدای تیر هر سال حداقل برای 12 ماه آینده انتشار دهد.